- Положительные и отрицательные стороны резонанса
- Резонанс и добротность
- Электроника
- Резонанс в обычной жизни
- Феномен залива Фанди
- Параметры резонанса
- Резонанс токов и напряжений
- Резонанс напряжений
- Резонанс – что это такое
- Акустика
- Использование резонанса напряжений для передачи радиосигнала
- В чем заключается явление резонанса напряжений
- Физическое определение и привязка к объектам
- Резонанс токов, параллельный резонанс
- Кварцевые резонаторы и электромеханические фильтры
- Резонансная частота
- Резонанс в реальных цепях
- Какие виды резонанса существуют
- Польза и вред резонанса
- Положительный эффект
- Отрицательное воздействие
- Как правильно рассчитать
- Условия возникновения
Положительные и отрицательные стороны резонанса
Высотные мачты и башни, небоскрёбы, мосты и смотровые площадки должны выдерживать возрастание амплитуды своих колебаний в результате внешних воздействий.
У явления резонанса есть плюсы:
- резонаторы на струнных инструментах усиливают гармонику, выполняя усиление стоячих волн;
- колебательный контур радиоприёмных устройств, при настройке на передающую станцию, усиливает принятый сигнал по амплитуде.
Разрушающие свойства этого явления используются при работе перфоратора – во время вибрации при сверлении бетонная стена вступает в резонанс с рабочим инструментом, и происходит разрушение бетона в точке применения.
Плюсы и минусы резонанса
Резонанс и добротность
Резонанс в физике часто связан с добротностью. Что это такое? Под добротностью понимается степень отзывчивости колебательной системы, уровень интенсивности ее отклика. На все том же примере с качелями можно представить, что есть две качели, одни из них старые и ржавые, а вторые новые, недавно построенные. Чтобы раскачать старые и ржавые качели нужно приложить намного больше усилий, нежели новые, то есть добротность у старых качелей (яко колебательной системы) будет в разы ниже, чем у качелей новых.

Логично, что разные показатели добротности приводят к разным последствиям:
- При низкой степени добротности колебательная система не будет сохранять долгое время вынужденные колебания, и очень скоро возвратится к естественным колебаниям.
- В определенных ситуациях высокая добротность может быть опасной, так как сильный резонанс и многократное увеличение амплитуды колебаний приведет к разрушению физического тела.
Электроника
В электрических цепях резонансом называется такой режим пассивной цепи, содержащий катушки индуктивности и конденсаторы, при котором ее входное реактивное сопротивление или ее входная реактивная проводимость равны нулю. При резонансе ток на входе цепи, если он отличен от нуля, совпадает по фазе с напряжением.
В электрических цепях резонанс возникает на определённой частоте, когда индуктивная и ёмкостная составляющие реакции системы уравновешены, что позволяет энергии циркулировать между магнитным полем индуктивного элемента и электрическим полем конденсатора.
Механизм резонанса заключается в том, что магнитное поле индуктивности генерирует электрический ток, заряжающий конденсатор, а разрядка конденсатора создаёт магнитное поле в индуктивности — процесс, который повторяется многократно, по аналогии с механическим маятником.
Электрическое устройство, состоящее из ёмкости и индуктивности, называется колебательным контуром. Элементы колебательного контура могут быть включены как последовательно (тогда возникает резонанс напряжений), так и параллельно (резонанс токов). При достижении резонанса, импеданс последовательно соединённых индуктивности и ёмкости минимален, а при параллельном включении — максимален. Резонансные процессы в колебательных контурах используются в элементах настройки, электрических фильтрах. Частота, на которой происходит резонанс, определяется величинами (номиналами) используемых элементов. В то же время, резонанс может быть и вреден, если он возникает в неожиданном месте по причине повреждения, недостаточно качественного проектирования или производства электронного устройства. Такой резонанс может вызывать паразитный шум, искажения сигнала, и даже повреждение компонентов.
Приняв, что в момент резонанса индуктивная и ёмкостная составляющие импеданса равны, резонансную частоту можно найти из выражения
- ωL=1ωC⇒ω=1LC{\displaystyle \omega L={\frac {1}{\omega C}}\Rightarrow \omega ={\frac {1}{\sqrt {LC}}}},
где ω=2πf{\displaystyle \omega =2\pi f} ; f — резонансная частота в герцах; L — индуктивность в генри; C — ёмкость в фарадах
Важно, что в реальных системах понятие резонансной частоты неразрывно связано с полосой пропускания, то есть диапазоном частот, в котором реакция системы мало отличается от реакции на резонансной частоте. Ширина полосы пропускания определяется добротностью системы.
В электронных устройствах также применяются различные электромеханические резонансные системы.
Подробнее по этой теме см. Кварцевый резонатор.
Подробнее по этой теме см. Электромеханический фильтр.
Резонанс в обычной жизни
В быту мы часто сталкиваемся с резонансом, даже не задумываясь о смысле явления. Он используется в:
- радиопередатчиках и приемных устройствах;
- микроволновых печах;
- музыкальных инструментах.
В поле акустики при игре на гитаре в определенный момент струны начинают вибрирующие движения. Слышен звук при отсутствии непосредственного воздействия игрока. Энергия от поглощения колебаний сильно возрастает к моменту, когда толчки (воздействие) совпадают с естественными движениями.

Отклик распространен в природе и искусственных устройствах. Многие слышат звук, источником которого является удар твердого предмета (металл, стекло, дерево). Они вызываются колебаниями малой частоты.
Феномен залива Фанди
Между Нью-Брансуик и Новой Шотландией в Канаде на побережье Атлантического океана расположен залив, известный на весь мир самым сильным приливом. Перепад в отметках между уровнями в момент максимальных значений достигает 18 метров. За один цикл свыше ста миллиардов тонн воды проходит через центральный вход залива. Продолжительность одного периода отлива-прилива постоянна – около 6 часов 13 минут.

Уникальностью природное явление «обязано» природными характеристиками:
- огромному количеству воды, проходящем через горловину залива;
- неповторимым очертаниям берегов;
- резонансному эффекту.
По сравнению со средней высотой прилива в океанах – 3 фута (около 1 м) гигантский размах поступательных движений водяной массы поражает. Физический смысл явления объясняется причинами:
- жидкость в любом объеме имеет свой период «колебаний», она постоянно движется с одним ритмом;
- частота движений полностью зависит от размеров резервуара – длины и глубины;
- большие размеры залива обеспечивают постоянство внутренних колебаний воды;
- цикл прилива (отлива) совпадает с внутренними колебаниями воды.
При начале прилива огромная водяная масса доходит до противоположного берега, затем движется в обратном направлении. Происходит совпадение момента отката воды и отлива. При этом волна получает дополнительное ускорение.
Для модели подойдет емкость длинной формы с водой, если ее раскачивать вдоль в одном ритме с движением жидкости. Спустя несколько колебаний вода будет переливаться через край. В заливе Фанди система более уравновешенная, и поэтому перелива нет.
Параметры резонанса
Значение амплитудно-частотных характеристик может изменяться в очень широких пределах. В технике для осуществления беспроводной связи явление этого типа принято выражать в децибелах (дБ). Колебательные контуры также могут иметь амплитудно-частотные характеристики. Этот параметр представляет собой отношение зависимости реакционной амплитуды и входящего воздействия.
Важно! Взаимосвязь фаз колебаний с частотой принято называть фазочастотной характеристикой. Проходящий через систему электрический сигнал также может быть точно определен и зафиксирован
Прежде всего, отображаются такие характеристики, как напряжение и частота
Проходящий через систему электрический сигнал также может быть точно определен и зафиксирован. Прежде всего, отображаются такие характеристики, как напряжение и частота.
Резонанс токов и напряжений
Параллельный контур используют, чтобы создать резонанс тока. Для выполнения отмеченных выше условий выбирают равные значения реактивных проводимостей (BL и Bc). По мере увеличения частоты общее сопротивление контура возрастает, что сопровождается уменьшением силы тока.
График изменения тока и проводимости, формулы для расчетов
В последовательном резонансном контуре устанавливают аналогичные функциональные компоненты. Эта схема при достижении резонансной частоты уменьшает сопротивление, что сопровождается существенным увеличением напряжения на реактивных составляющих, по сравнению с электродвижущей силой источника питания.
Резонанс напряжений в цепи переменного тока: график, электрическая схема и формула расчета
Резонанс напряжений
Если последовательно с генератором соединить конденсатор и катушку индуктивности, то, при условии равенства их реактивных сопротивлений, возникнет резонанс напряжений. При этом активная часть Z должно быть как можно меньшей.
Стоит отметить, что индуктивность и емкость обладает только реактивными качествами лишь в идеализированных примерах. В реальных же цепях и элементах всегда присутствует активное сопротивление проводников, хоть оно и крайне мало.
При резонансе происходит обмен энергией между дросселем и конденсатором. В идеальных примерах при первоначальном подключении источника энергии (генератора) энергия накапливается в конденсаторе (или дросселе) и после его отключения происходят незатухающие колебания за счет этого обмена.
Напряжения на индуктивности и емкости примерно одинаковы, согласно :
U=I/X
Где X — это Xc емкостное или XL индуктивное сопротивление соответственно.
Цепь, состоящую из индуктивности и емкости, называют колебательным контуром. Его частота вычисляется по формуле:
Период колебаний определяется по формуле Томпсона:
Так как реактивное сопротивление зависит от частоты, то сопротивление индуктивности с ростом частоты увеличивается, а у ёмкости падает. Когда сопротивления равны, то общее сопротивление сильно снижается, что отражено на графике:
Основными характеристиками контура являются добротность (Q) и частота. Если рассмотреть контур в качестве четырехполюсника, то его коэффициент передачи после несложных вычислений сводится к добротности:
K=Q
А напряжение на выводах цепи увеличивается пропорционально коэффициенту передачи (добротности) контура.
Uк=Uвх*Q
При резонансе напряжений, чем выше добротность, тем больше напряжение на элементах контура будет превышать напряжение подключенного генератора. Напряжение может повышаться в десятки и сотни раз. Это отображено на графике:
Потери мощности в контуре обусловлены только наличием активного сопротивления. Энергия из источника питания берется только для поддержания колебаний.
Коэффициент мощности будет равен:
cosФ=1
Эта формула показывает, что потери происходят за счет активной мощности:
S=P/Cosф
Резонанс – что это такое
Резонанс в физике – это частотно-избирательный отклик системы колебаний на внешние силы, которые периодически воздействуют на систему. Проявляется это воздействие в резком увеличении амплитуды движений этих колебаний, когда частота внешней воздействующей силы совпадает с некоторыми, характерными для данной колебательной системы, частотами.
Важно! Суть резонирования заключается в резком увеличении амплитуды колебаний при совпадении значения частоты силы, воздействующей на систему извне, с собственной частотой колебаний этой системы. Тупое и острое резонирование
Тупое и острое резонирование
Чтобы далее говорить о явлении резонирования, следует понять, что такое колебания и частота. Колебания – это процесс изменения состояний колебательной системы, который повторяется через определенные промежутки времени и происходит вокруг точки равновесия. В пример можно привести раскачивание на качелях. Произойти резонирование частот может только там, где есть колебательные движения
Причем совсем неважно, к какому именно виду относятся колебания: электрические, звука, механические
Виды колебательных движений
Процесс колебаний характеризуют частота и амплитуда. Простыми словами, на примере качели можно сказать, что амплитуда – это высшая точка, которую они достигают. Частота колебаний отвечает за скорость достижения качелями этой точки.
Возвращаясь к примеру с качелями, можно сказать, что когда они раскачиваются, система колебаний совершает вынужденные колебания. Увеличить амплитуду этих колебаний можно путем воздействия на эту систему определенным образом. То есть, если толкать качели с определенной силой и в определенное время, то можно сильно раскачать их без применения больших усилий.
Это явление и будет называться резонансом: частота воздействий извне будет совпадать с частотой колебаний в системе, и вследствие этого будет увеличиваться амплитуда.
Резонирование напряжений в электроцепи
Акустика
Резонанс — один из важнейших физических процессов, используемых при проектировании звуковых устройств, большинство из которых содержат резонаторы, например, струны и корпус скрипки, трубка у флейты, корпус у барабанов.
Для акустических систем и громкоговорителей резонанс отдельных элементов (корпуса, диффузора) является нежелательным явлением, так как ухудшает равномерность амплитудно-частотной характеристики устройства и верность звуковоспроизведения. Исключением являются акустические системы с фазоинвертором, в которых намеренно создаётся резонанс для улучшения воспроизведения низких частот.
Использование резонанса напряжений для передачи радиосигнала
Колебательный контур этого типа создают из последовательной комбинации трех базовых компонентов: резистор, конденсатор, индуктивность. Подходящим для резонанса условием является нулевое сопротивление цепи (комплексное). Для решения такой задачи следует изучить основные формулы.
Комплексное сопротивление Rк=R+j(wL-1/wC). Постоянный резистор (R) не зависит от частоты (w). Значит, придется оперировать с индукционными и емкостными элементами. Резонансный эффект получают при (wL-1/wC)=0. Для вычисления необходимых значений пользуются следующими расчетами:
- Lп=1/w2*C;
- Сп=1/w2*L;
- Wп=1/√L*C.
Из приведенных данных понятно, что корректировать можно любой из параметров при одновременном сохранении двух других. В практической схемотехнике удобнее работать с частотой, поэтому рассмотрим подробнее применение такого варианта.
Последовательный контур с графиками
На рисунках показаны условия возникновения резонанса напряжений. В точке, обозначенной w0, наблюдается равенство индуктивной и емкостной составляющих на определенной частоте. Небольшой сдвиг влево по оси обусловлен резистивным компонентом цепи.
Напряжение на конденсаторе (Uc) при частоте резонанса (W0) равно волновому сопротивлению колебательного контура (p=√L/C). Аналогичная разница потенциалов будет на клеммах катушки при частоте W0. Данная особенность объясняет особое название процесса – «резонанс напряжений». Также в электротехнических расчетах применяют следующие определения:
- Добротность – Q=p/R;
- Затухание – 1/Q.
Отмеченные свойства используют в радиоприемной и передающей аппаратуре. Выделение контуром определенного диапазона позволяет выполнять настройку станции на определенную частоту с определенной параметрами цепи погрешностью. Для контроля избирательности оценивают амплитуду сигнала относительно резонансной частоты. Уровень отклонения на 3 дБ в обе стороны (0,7 от максимума) называют полосой пропускания.
Амплитудно-частотная характеристика (АЧХ) и полоса пропускания
В чем заключается явление резонанса напряжений
Как известно, в сети переменного тока домашней сети разность потенциалов изменяется с частотой 50 Гц. То есть, каждую секунду производится 50 полных колебаний. Такое явление несложно замерить даже бытовым частотомером, который определить точное значение этого параметра именно по эффекту электромагнитного поля, образованного вокруг проводника с током. Катушка с металлическим сердечником, которая устанавливается в измерительный прибор, будет колебаться с частотой электромагнитного поля домашней электросети.
Частотомер
Таким образом, вырабатывается переменное напряжение, которое затем может быть увеличено, а его частота подсчитана микропроцессорным либо аналоговым устройством, после чего информация может быть выведена на экран.
Разобравшись, в чем заключается явление резонанса электрического напряжения, необходимо стараться всячески избегать этого явления, когда одновременные колебательные движения полей являются нежелательными. Если же в каком-либо устройстве такой эффект применяется с целью получения определенных физических явлений, то схема должна быть изготовлена с высокой добротностью, чтобы на поддержание процесса тратилось как можно меньше энергии (таким образом повышается КПД устройства).
Физическое определение и привязка к объектам
Несложно изучить механический резонанс что это, простыми словами поясняют следующим образом. При слишком частых ударах в крупный колокол звук быстро затухает. Постепенным увеличением интервала даже без изменения силы воздействия можно создать мощные звуковые колебания. Этот пример демонстрирует совпадение обозначенных выше частот.
При уменьшении размеров колокола для получения нужного эффекта изменяют ритм воздействий
В сложных системах необходимо учитывать наличие нескольких резонансных частот и соответствующий суммарный показатель. Также следует отметить добротность. Этим термином принято означать способность объекта воспринимать внешние колебания. При значениях, близких к единице, допустимо критическое возрастание амплитуды колебаний, вплоть до механического разрушения.
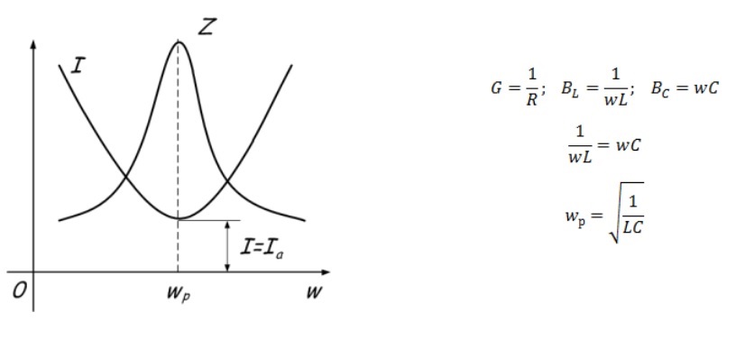
Резонанс токов, параллельный резонанс
В электротехнике часто применяют не последовательное, а параллельное соединение конденсатора и катушки.
Следует помнить! В такой ситуации реактивные элементы рассматривают по измененной схеме. Вместо сопротивлений оперируют суммой проводимостей.
Электрические параметры и компоненты, векторные диаграммы напряжений и токов
В этом примере рассмотрим уточненные параметры. Величину (I) определяют по сумме токов, которые проходят по индуктивному и емкостному участкам цепи. В обеих ситуациях определенное значение имеет частота (w):
- IL=E/(RL+Кз*w*L);
- Ic=E/(Rc+(1/Кз*w*С).
Диаграммы наглядно демонстрируют характерные изменения физических параметров при работе контура в трех типовых режимах. На рисунке а) изображен емкостной вариант. Предполагается что w*L больше, чем 1/w*С. В этом случае минимальным значением RL можно пренебречь, что несколько упрощает приведенную выше формулу для расчета тока. Он будет отставать от вектора напряжения на угол ϕL. Второй рисунок демонстрирует обратную ситуацию, когда IL больше Ic.
Для резонансных условий надо, чтобы фазы совпадали. Это показано векторами на рисунке в). Такая ситуация получится, если w*L равно 1/ w*С. В этом случае наблюдается примерное равенство IL и Ic, что определено во втором названии явления – «резонанс токов».
Кварцевые резонаторы и электромеханические фильтры
Это наиболее распространённые резонаторы, включающие в себя кристаллы кварца. Кристалл вырезается в форме параллелепипеда. На полученную пластину в вакууме напыляют электроды. Способы колебаний такого элемента зависят от следующих позиций:
- вида пластины из кварца;
- конструктивного исполнения электродов;
- метода присоединения электродов.
На величину собственной частоты кварцевого резонатора влияют: форма, размеры, модуль упругости и плотность пьезоэлектрического элемента, а также особенности крепления детали.
Простейшая конструкция кварцевого резонатора
Электромеханические фильтры (ЭМФ) выполняют ступенчатое преобразование. На первой ступени происходит превращение электрических пульсаций в колебания механической природы. Вторая ступень их фильтрует, третья – снова возвращает в электрическую форму.
Внимание! Вторая ступень – это механический резонатор, он работает как фильтр. Изготавливается из ферритов с магнитострикционными свойствами, кварца, сплавов железа с никелем, пьезокерамических элементов и иных компонентов
Блок-схема ЭМФ
Резонансная частота
При подаче на два КК (параллельного и последовательного) переменного напряжения с изменяющейся частотой их реактивные сопротивления C и L будут меняться. Изменения происходят следующим образом:
- с увеличением f – ёмкостное сопротивление уменьшается, а индуктивное увеличивается;
- с уменьшением f – ёмкостное сопротивление увеличивается, а индуктивное уменьшается.
Частота, при которой реактивные сопротивления обоих элементов контура равны, называется резонансной.
Важно! При fрез сопротивление параллельного КК будет максимальным, а последовательного КК – минимальным. Резонансная частота формула, которой имеет вид:
Резонансная частота формула, которой имеет вид:
fрез = 1/2π*√L*C,
где:
- L – индуктивность, Гн;
- C – ёмкость, Ф.
Подставляя известные значения ёмкости и индуктивности в формулу резонансной частоты колебательного контура любой конфигурации, можно рассчитать этот параметр.
Для определения периода колебаний КК и частоты резонанса можно воспользоваться онлайн калькулятором на соответствующем портале в сети. Профессиональная программа имеет несложный интерфейс.
Пример интерфейса онлайн калькулятора LC-контура
Резонанс в реальных цепях
Для изучения описанных процессов надо собрать контур из соответствующих компонентов. Придется подготовить генератор с изменяющейся частотой выходного сигнала, осциллограф и другие измерительные инструменты. Чтобы получить достоверные результаты без лишних трудностей, пользуются специализированным программным обеспечением.
Теория и практика
В левой части рисунка размещены схема и амплитуда сигнала на выходе при подключении к выводам конденсатора параллельного контура. В правой – снимок экрана измерительной аппаратуры. Несложно убедиться в идентичности колебаний.
К сведению. С помощью ПО выполняют десятки экспериментов быстро и точно в обычных домашних условиях. Этот способ значительно упрощает создание электрических схем с оптимальными параметрами.
Какие виды резонанса существуют
Явление характеризуется особенностями, различают типы:
- Механический. При проектировании промышленных объектов нужно предусмотреть меры безопасности. Если механические частоты основы машин и механизмов будут совпадать с колебаниями двигателя, может произойти резонансное действие.
- Электрический. Наблюдается в электроцепях на определенной частоте. Явление применяют в беспроводной передаче сигналов – телевидении, сотовой связи.
- Оптический. При особом расположении оптических полостей (зеркал) наблюдают резонатор для световых волн. Используют явление в лазерных установках, параметрических генераторах.
- Ядерно-магнитный резонанс. Сокращенно ЯМР используется в медицинской диагностике, при проведении магнитно-резонансной томографии.
- Общественный. В обществе часто используется понятие отклика на событие, явление или случайное происшествие. Ответом на происшествие выступает похожее реагирование большой массы народа. Из свежих примеров – введенное Федеральным законом увеличение пенсионного возраста в 2018 г. Отклик в результате у основной массы граждан совпал – негатив и несогласие с решением.
- Когнитивный или психологический. Если субъект знакомится с кем-либо, и у него положительное впечатление, можно говорить о следствии резонанса. При этом совпадают интересы, суждения, мнения. В психологии резонанс это единство душ, стремлений и эмоций.
- Плазмонный резонанс. В квантовой физике используют понятие плазмона. Это квазичастицы в проводниках тока, при возбуждении на определенной частоте, совпадающей с внешней электромагнитной волной. Явление используют в конструкции сенсоров для химических или биологических систем.
Явление резонанса – весьма эффективный способ для реализации многих задач в быту, науке, музыке, строительстве. Нужно помнить, что есть негативное влияние, его нужно максимально предотвращать, чтобы не допустить разрушений и проблем со здоровьем.
Польза и вред резонанса
Изложенные сведения применяют для решения разных прикладных задач. Выяснив, что такое резонанс в физике, можно с помощью малых внешних сил развивать большую полезную мощность. Точный расчет предотвратит вредные воздействия, ухудшающие функциональное состояние механических аппаратов и электротехнических схем.
Положительный эффект
Изложенные принципы объясняют применение резонанса для обработки сигналов. Точный расчет компонентов и коэффициента связи контуров поможет создать эффективный фильтр, пропускающий электромагнитные колебания в определенном частотном диапазоне.
Последовательный контур можно использовать для повышения напряжения, если сеть питания неспособна поддерживать необходимый уровень. Правильно подобранный конденсатор обеспечит плавное включение привода, что продлит срок службы оборудования и снизит нагрузку на электростанцию.
К сведению. Хорошо известно применение резонанса в технике измельчения твердых горных пород. Аналогичный результат (ускорение процесса) получают при оснащении дрели ударно-возвратным механизмом.
С помощью перфоратора сверление отверстий в прочных железобетонных стенах выполняется быстро и без чрезмерных усилий
Отрицательное воздействие
Резонанс разрушает прочные конструкции, функциональные узлы, механизмы. При ошибках в расчетах это явление ухудшает работоспособность электрических схем. Особо сильные воздействия провоцируют аварийные ситуации.
В качестве примера можно привести резонансные частоты, которые учитывают при создании санитарных, технических и производственных нормативов:
- стоящий, сидящий и лежащий человек: 4-13 (16-26), 4-7 и 2,5-3 Гц, соответственно;
- голова: 18-35 Гц;
- грудная клетка: 2,5-4 Гц;
- брюшная полость: 6-9 Гц.
При совпадении частоты вибраций (от инструмента, работающего оборудования) ухудшается состояние нервной системы, провоцируются паталогические изменения в организме.
Как правильно рассчитать
Токовый резонанс очень важно правильно рассчитать, если есть параллельное соединение, предотвращающая появление помех около системы. Для правильного расчета необходимо понять, какие показатели мощности в электросети
Средняя стандартная мощность, рассеивающаяся при резонансном контуре, выражается при помощи среднеквадратичных токовых показателей и напряжения. При резонансе мощностный коэффициент равен единице и формула имеет вид, как на картинке.
Формула расчета
Чтобы правильно определить нулевой импеданс, понадобиться воспользоваться стандартной формулой, которая дана ниже.
Формула резонансных кривых
Что касается аппроксимирования резонанса колебательных частот, это можно выяснить по следующей формуле.
Расчет колебательного контура
Обратите внимание! Для получения максимально точных данных по приведенным формулам, округлять данные не нужно. Благодаря этому получится грамотный расчет, который приведет к достойной экономии переменного тока, если речь идет о подсчете в целях снижения счетов
В целом, резонанс токов — это то, что происходит в части параллельного колебательного контура, в случае его подключения к источнику напряжения, частота какого может совпадать с контурной. Возникает при условиях, когда цепь, имеющая параллельное соединение резисторной катушки и конденсатора, равна проводимости BL=BC. Правильно сделать весь необходимый подсчет можно по специальной формуле или, прибегая к использованию специальных измерительных инструментов в виде мультиметра.
Условия возникновения
Сейчас мы рассмотрим условия возникновения резонанса напряжений. Как показано на последнем рисунке, мы вернули резистор в контур. При отсутствии резистора в контуре ток в резонансной цепи будет нарастать до некоторого максимального значения, определяемого параметрами элементов контура и мощностью источника питания. Увеличение сопротивления резистора в резонансной цепи повышает тенденцию к затуханию тока в контуре, но не влияет на частоту резонансных колебаний. Как правило, режим резонанса напряжений не наступает, если сопротивление цепи резонанса удовлетворяет условию R = 2(L/C)0,5.
























































